Algebraic Expressions Solutions
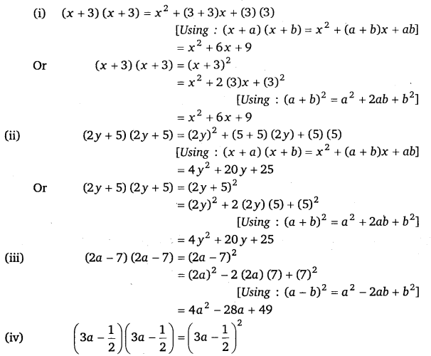
Algebraic Expressions Solutions. Class 8 maths introduces the concept of algebraic expressions and algebraic identities to the students. Following are the formulas for algebraic expressions:

If we bring 1 from lhs to rhs, then the sign of 1 will get change. 10 area of a rectangle with length 4ab and breadth 6\({ b }^{ 2 }\) is solution. Solve x + 1 = 9.
$\Frac{X+Y}{2}$ (Iii) The Number $Z$ Multiplied By Itself.
Show the terms and factors by tree diagrams. Identify the terms, their coefficients for each of the following expressions. (ii) 1 + x + x 2.
(I) Subtraction Of $Z$ From $Y$.
In this article, we will look at a summary of simplifying algebraic expressions. Ncert solutions for class 8 maths chapter 9 algebraic expressions and identities exercise 9.1. (i) subtraction of z from y.
On These Printable Worksheets Students Will Evaluate Basic Algebraic Expressions With Variables.
Get the algebraic expressions in the following cases using variables, constants and arithmetic operations: Solve x + 1 = 9. You can simplify expressions by applying the distributive property of multiplication to remove grouping signs such as parentheses and combine like terms.
The Ncert Solutions For Class 8 Cbse Maths Chapter 9, Explains Basic Concepts Like Terms, Factors, Coefficients, Like And Unlike Terms, Addition And Subtraction Of Algebraic Expressions, And Multiplication Of Two Or More Polynomials.
10 area of a rectangle with length 4ab and breadth 6\({ b }^{ 2 }\) is solution. Sum of x 2 + x and y + y 2 is 2x 2 + 2y 2. Ex 9.1 class 8 maths question 1.
Ncert Solutions For Class 8 Maths Chapter 9 Algebraic Expressions And Identities.
11 volume of a rectangular box (cuboid) with length = 2ab, breadth = 3ac and height = 2ac is solution. Practice your math skills and learn step by step with our math solver. Following are the formulas for algebraic expressions: